外显子组测序
技术优势
技术路线
分析内容
| 人外显子组测序(遗传病) | 标准数据分析 | 数据产出统计;测序深度、覆盖度分布统计; SNP鉴定与注释;插入/缺失(InDels)鉴定与注释。 |
| 高级信息分析 | dbSNP数据库的注释与筛选;1000 Genome数据库的注释与筛选;位点基因区域的筛选;蛋白功能影响注释;遗传模式筛选(显性,隐性,复合杂合) | |
| 人外显子组测序(肿瘤) | 标准数据分析 | 数据产出统计;测序深度、覆盖度分布统计;SNP鉴定与注释;SNP的疾病与临床数据库注释;插入/缺失(InDels)鉴定与注释;插入/缺失(InDels)的疾病与临床数据库注释;CNV检测。 |
| 高级信息分析 | dbSNP数据库的注释与筛选;1000 Genome数据库的注释与筛选;位点基因区域的筛选;蛋白功能影响注释;遗传模式筛选(显性,隐性,复合杂合) | |
| 人目标区域测序 | 标准数据分析 | 数据产出统计;目标区域单碱基深度分布图;目标区域捕获测序的均一性;一致序列组装和SNP检测;SNP注释;插入/缺失(InDels)检测与注释 |
| 高级信息分析 | 氨基酸替换预测;群体SNP检测和等位基因频率估计;孟德尔遗传病分析;NGS-GWAS分析(200对以上样本);正向选择信号的检测SNPs变异信息检测(群体样本) |
样本类型
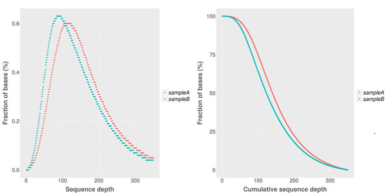
结果展示



常见问题